Jana Eger (j.eger@fu-berlin.de)
Department of History and Cultural Studies at the Free University of Berlin
Sheep and goat predominate in the Neolithic and Aneolithic/Chalcolithic faunal assemblages in southern Central Asia and adjacent microregions, yet their husbandry is still incompletely understood. Some aspects of caprine herding practices, such as the annual timing/seasons of birth and feeding in the context of local conditions, have received little attention so far. This case study addresses these aspects by using an integrated approach combining a multi-isotope analysis (nitrogen, carbon, oxygen, and strontium) mainly on caprine teeth/bones with zooarchaeological results and archaeobotanical data from Monjukli Depe in order to explore the life histories of animals herded at the site. Monjukli Depe is in southern Turkmenistan and inhabited in the late Neolithic (ca. 6200-5650 BCE) and again in the early Aeneolithic (ca. 4800-4350 BCE). Excavations at this site have yielded a large, well-preserved animal bone assemblage.

In the first step of the research, bone collagen was extracted from mandibles of sheep and goat and analysed for carbon and nitrogen isotopes (FIG 1). A total of 23 caprine individuals were sampled in the study. From this we can detect past environmental conditions and the range of vegetation to which the animals had continuous access during their lives, including their reliance on C3 and C4 plants. While both plant groups occur in southern Turkmenistan today, the preliminary archaeobotanical data from Monjukli Depe point to a predominance of C3 plants.

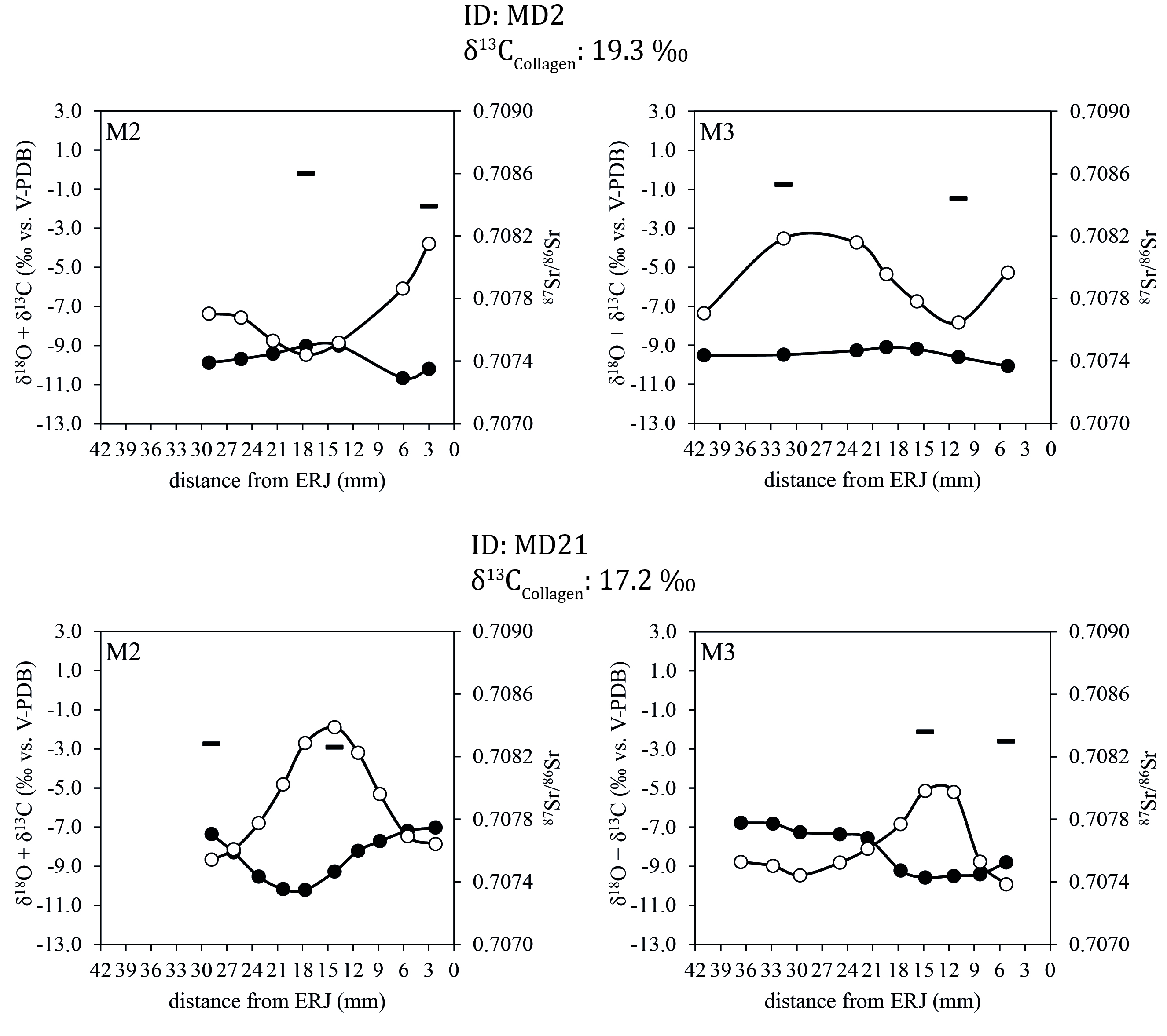
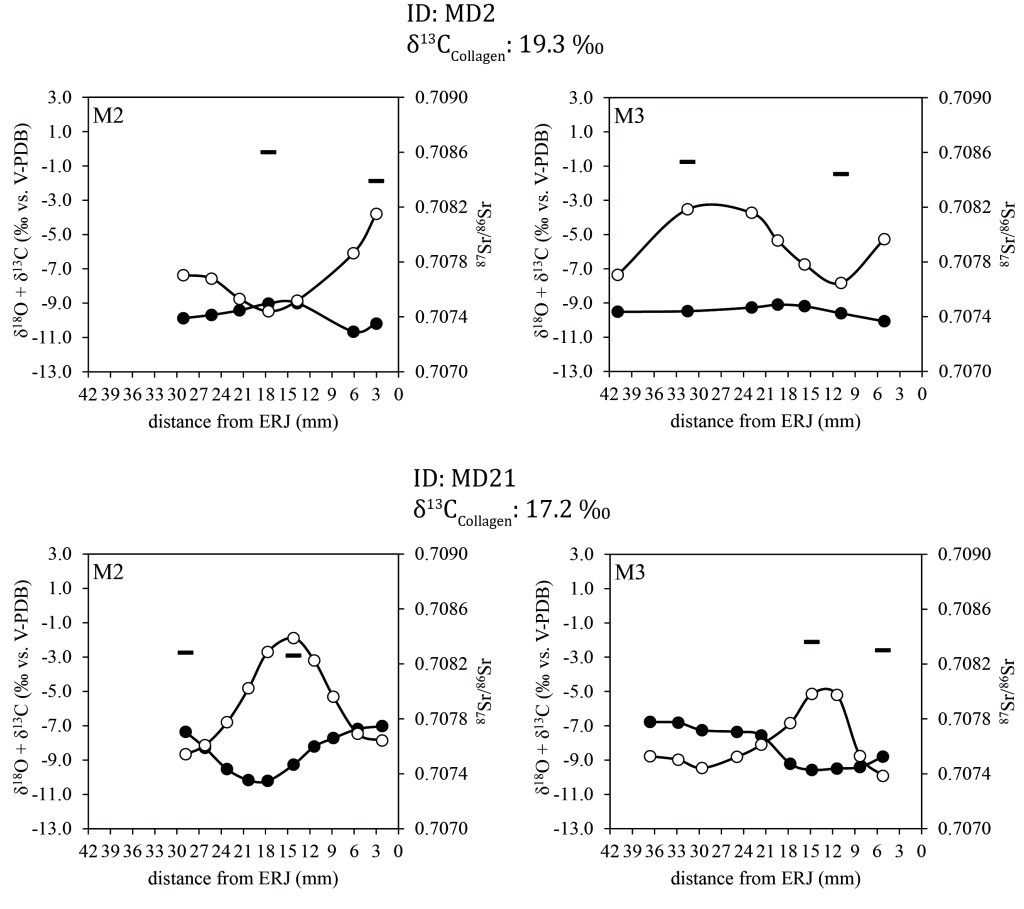
The next step, was to sequentially sample lower 3rd molars from the sampled mandibles and analysed for carbon and oxygen isotopes. The δ18O and δ13C values provide insights into seasonal changes in diet and fodder composition over the annual cycle. Several second molars were sampled in addition, so that ca. 11 to 12 months of the first year of the animals’ lives were included in the analyses.

In a third step, the δ18O sequences obtained from the teeth were used to assess strontium isotope analysis. From each tooth two sample positions of the highest and lowest δ18O values were selected to measure the strontium ratios (87Sr/86Sr) to investigate the possibility of different grazing locations on a seasonal scale. The δ18O sequences were further used to provide information about the birth seasonality in the Monjukli herd population.
The analysis reveals that a large proportion of caprine individuals received a more diverse vegetation than others with possible contribution of C4 plants in diet – both on a seasonal and long-term basis. Furthermore, the results support a scenario in which sheep and goats were kept in small flocks at ecologically different locations close to the settlement. Herding practices in the Monjukli case seemed to focus on landscape micro-variability rather than exploiting advantages of altitude differences. The study further indicates that sheep and goat were born across multiple seasons within the annual cycle, and they were raised to maintain a continuous supply of fresh milk along with tender meat, consistent with previous suggestions that husbandry was both meat- and milk-oriented.
Overall, the information gained from the investigation helps to draw a more detailed picture of sheep and goat husbandry, including a better understanding of breeding practices and controlled herd security by the people who tended the animals. The data provide evidence of a wide zootechnical knowledge in this early village society.
The results of the multi-isotope investigation, recently published and online accessible here: https://www.sidestone.com/books/mensch-tier-verhaeltnisse-in-monjukli-depe, were viewed through the lens of the interdisciplinary field of Human-Animal Studies, which direct their focus to complex and multidimensional interspecies relations . The interpretation included zooarchaeological study of over 50,000 animal remains and the analyses of zoomorphic representations in the form of miniaturized clay objects. Thus, the stable isotopic results are considered within the wider socio-cultural practices and conceptions of relations between humans and (other) animals at the settlement of Monjukli Depe.
This research derives from the Monjukli Depe Project at the Free University of Berlin (FUB) under the direction of Prof. Dr. Susan Pollock and Prof. Dr. Reinhard Bernbeck, and was undertaken as part of my PhD (2014-2020) within the frame of the Berlin Graduate School of Ancient Studies. The financial support for this study was provided by the German Research Foundation, and Frauenfördermittel of the Department of History and Cultural Studies at FUB.

